
ยุคนี้เป็นช่วงเวลาที่ วิทยาศาสตร์การกีฬา เข้ามามีอิทธิพลกับผลงานในสนามของเหล่านักกีฬาอย่างเห็นได้ชัด ตั้งแต่นักว่ายน้ำแนวหน้าผู้ทำลายสถิติโลกอันเก่าลงได้สำเร็จ มาจนถึงนักกีฬาอาชีพทั่วไปที่ต่างก็สามารถทำเวลาได้เร็วขึ้นกว่ารุ่นพี่ในยุคก่อนหน้า
ความเข้าใจในหลักโภชนาการที่ดีขึ้น การประยุกต์วิธีฝึกซ้อมเพื่อให้เข้ากับร่างกายแต่ละคนกว่าเดิม หรือการเลือกฝึกชนิดกีฬาให้เหมาะกับสรีระมาตั้งแต่วัยเยาว์ ต่างเป็นตัวช่วยเสริมประสิทธิภาพให้นักว่ายนํ้ายุคนี้ทำผลงานได้ดีทั้งนั้น ตั้งแต่รายละเอียดปลีกย่อยเช่นเนื้อผ้าของชุดที่สวมใส่ไปจนถึงวิธีการหายใจให้ได้ประสิทธิภาพต่อการว่ายน้ำท่านั้น ๆ ด้วยกัน
ในเมื่อเป็นวิทยาศาสตร์การกีฬาก็ย่อมมีวิทยาศาสตร์เป็นพื้นฐานอยู่แล้ว จะเป็นไปได้ไหมหากเราจะนำทฤษฎีและเหล่าสมการต่าง ๆ มากางวิเคราะห์กันดู เพื่อผลักดันผลงานของนักกีฬาให้ไปได้ไกลขึ้นกว่าเดิม ?
วันนี้ Main Stand จะมาไขคำตอบผ่านหลักพลศาสตร์ของไหล ว่าการนำสมการแบร์นูลลีมาประยุกต์ใช้กับนักกีฬาว่ายน้ำแบบสปรินต์ จะช่วยให้เราว่ายน้ำได้เร็วขึ้นหรือไม่
อะไรคือหลักการแบร์นูลลี
ก่อนจะนำหลักการไปใช้คำนวณกับสถานการณ์จริง เราต้องมาทำความเข้าใจกันก่อนว่าเจ้า "Bernoulli's Principle" มันคืออะไรกันแน่
เพื่ออธิบายหลักการดังกล่าว ต้องย้อนกลับไปยังหัวข้อหลักที่ครอบคลุมประเด็นนี้อย่าง พลศาสตร์ของไหล หรือ "Fluid Dynamics" ซึ่งเป็นการศึกษาของเหลวหรือแก๊ส อันมีความสามารถในการ "ไหล" จากจุดหนึ่งไปสู่อีกจุดหนึ่ง จึงทำให้สารในสองสถานะนี้ถูกเรียกอีกชื่อได้ว่าเป็น "ของไหล"

การศึกษาพลศาสตร์ของไหลนั้นจะกำหนดว่าของไหลดังกล่าวเป็นของไหลในอุดมคติ นั่นคือมีการไหลอย่างสม่ำเสมอ มีความหนาแน่นคงตัวในทุกส่วน ไหลได้แบบไม่ถูกต้านจากแรงหนืด และการไหลนั้นไม่หมุนวน ซึ่งสามารถนำสมการต่อเนื่อง (Equation of Continuity) กับสมการแบร์นูลี มาอธิบายพฤติกรรมของไหลในอุดมคติเหล่านี้ได้
หลักการดังกล่าวถูกคิดค้นขึ้นโดย แดเนียล แบร์นูลลี นักวิทยาศาสตร์ชาวสวิตเซอร์แลนด์ ผู้พบว่าเมื่อของไหลมีความเร็ว (พลังงานจลน์) เพิ่มขึ้น ความดันและพลังงานศักย์ของของไหลจะลดลงในทันที ตามกฎข้อที่หนึ่งของเทอร์โมไดนามิกส์ ซึ่งระบุว่าค่ารวมทั้งหมดของพลังงานในของไหลจะต้องคงที่โดยไม่สามารถถูกสร้างเพิ่มหรือทำลายได้
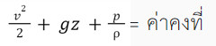
เพื่อให้เห็นภาพของหลักการดังกล่าว ลองนึกถึงน้ำที่ไหลผ่านท่อน้ำท่อหนึ่ง มันจะเกิดแรงดันเมื่อโมเลกุลของน้ำกระทบกับผิวท่อ แต่พอขนาดของท่อน้ำเริ่มเล็กลง น้ำจะไหลได้เร็วขึ้นจากกฎการอนุรักษ์โมเมนตัม ซึ่งเมื่อความเร็วเพิ่มขึ้นความดันกับพลังงานศักย์ของน้ำในพื้นที่ดังกล่าวก็จะลดลง เพราะโมเลกุลของน้ำจะมีโอกาสไปกระทบกับผิวท่อได้น้อยลงเมื่อต้องเดินทางไปเร็วกว่าเดิม โดยเราสามารถเขียนเป็นสมการได้เช่นนี้

เมื่อ v = ความเร็วของของไหล, g = แรงโน้มถ่วงโลก, z = ความสูงจากระนาบของของไหล, p = ความดันของของไหล, ρ (โร) = ความหนาแน่นของของไหล
สมการดังกล่าวเป็นพื้นฐานที่ถูกนำไปประยุกต์ใช้กับสิ่งต่าง ๆ ในชีวิตประจำวันได้มากมาย แม้ในโลกแห่งความเป็นจริงจะไม่มีของไหลใดเป็นของไหลในอุดมคติก็ตาม แต่แรงยกตัวของเครื่องบิน หรือแรงกดในรถแข่งฟอร์มูล่าวัน ต่างสามารถถูกคำนวณโดยใช้หลักการของแบร์นูลลีได้แบบใกล้เคียงกับค่าจริงทั้ง ๆ ที่ผู้คิดค้นสมการนั้นมีชีวิตอยู่ในยุคที่ยังไม่มีอากาศยานหรือรถแข่งความเร็วสูงนี้อยู่ (เจ้าตัวเสียชีวิตไปในปี 1782)
เมื่อทราบถึงพื้นฐานของหลักการดังกล่าวกันแล้ว ก็ได้เวลานำสมการดังกล่าวลงสู่สระน้ำกันเสียที
วิวัฒนาการว่ายน้ำ
ในการแข่งขันว่ายน้ำ เป้าหมายของนักกีฬานั้นไม่ได้มีความซับซ้อนมากนัก เพราะไม่ว่าจะเป็นการว่ายแบบสปรินต์ ที่มีระยะทางค่อนข้างสั้น หรือแบบระยะทางยาว ที่ต้องมีการจัดสรรพลังงานให้เหลือเพียงพอจนจบเรซ ทั้งหมดต่างตัดสินกันด้วยเกณฑ์เดียวกันว่าใครใช้เวลาน้อยสุดในการเข้าเส้นชัย

เพราะตัดสินกันด้วยความเร็ว มนุษย์ในสมัยก่อนจึงใช้เทคนิคว่า แขนและฝ่ามือจะต้องตั้งฉากกับทิศทางการเคลื่อนที่ โดยอิงจากกฎข้อสามของนิวตัน ซึ่งระบุไว้ว่าแรงกิริยามีขนาดเท่ากับกับแรงปฏิกิริยา แต่มีทิศทางตรงข้ามกัน
นั่นคือเราเคยใช้แรงปฏิกิริยาจากการจ้วงมือไปด้านหลังในแนวตรง หรือตีสโตรกเป็นรูปตัว I เป็นตัวช่วยขับดันให้ร่างกายมนุษย์พุ่งไปข้างหน้าในน้ำได้เร็วที่สุด และมีการใช้เทคนิคแบบนี้เป็นหลักกันมาจนถึงช่วงยุค 1970s เลยทีเดียว

จริง ๆ เทคนิคดังกล่าวก็ไม่ผิดเสมอไป แต่นักกีฬายุคใหม่นั้นเริ่มมีการปรับมาใช้เทคนิค "Sculling" หรือตีสโตรกเป็นรูปตัว S ที่มือของนักว่ายน้ำจะถูกปรับให้เอียงทำมุมเล็กน้อย เพื่อก่อให้เกิดแรงยกตัวเหมือนกับปีกเครื่องบิน ซึ่งแรงยกตัวดังกล่าวสามารถนำมารวมกับแรงปฏิกิริยาจากการดันน้ำไปด้านหลัง เพื่อช่วยให้ร่างกายนักกีฬาเหล่านี้สามารถแหวกผ่านน้ำได้รวดเร็วขึ้นกว่าเดิม
ที่เป็นเช่นนั้นเพราะเมื่อนักกีฬากำลังว่ายน้ำในสระ แขนและมือของเขาจะถูกแบ่งเป็นสองฝั่ง คือด้าน Ventral ที่จะปะทะเข้ากับการไหลของน้ำ และด้าน Dorsal ที่อยู่ด้านหลัง ซึ่งจากตัวอย่างของน้ำในท่อน้ำนั้น ด้านที่มีการปะทะเข้าหากันจะมีแรงดันสูง และด้านหลังนั้นจะมีความเร็วสูงแต่แรงดันน้อยแทน ซึ่งการใช้เทคนิค "Sculling" จะช่วยให้มีแรงยกเกิดขึ้น เพื่อมาชดเชยแรงปฏิกิริยาที่อาจมีน้อยกว่าการทำสโตรกรูปตัว I จนตามทฤษฎีแล้วมันควรจะช่วยให้นักว่ายน้ำเคลื่อนที่ได้เร็วขึ้นกว่าเดิม
แต่เมื่อลงสนามจริงแล้ว มันเป็นตัวช่วยให้นักกีฬาว่ายน้ำได้เร็วขึ้นจริงไหมล่ะ ?
Not all ทฤษฎี = ปฏิบัติ
ย้อนไปในปี 2002 มีทีมนักวิจัยได้ลองพิสูจน์เทคนิคการว่ายแบบ "Sculling" ขึ้นมาเป็นครั้งแรก โดยใช้การแปะเส้นเชือกตามแนวหลังแขนของนักว่ายน้ำ เพื่อวัดดูการเคลื่อนไหวของมันระหว่างนักกีฬากำลังแหวกว่ายอยู่ใต้น้ำ
ตามทฤษฎีแล้วเส้นเชือกเหล่านี้ควรต้องไหลไปในแนวตรงราวกับว่ามีลมมาพัดพวกมันอยู่ใต้น้ำได้ เพราะน้ำควรไหลจากจุดที่มีแรงดันสูงไปต่ำ ทว่าผลลัพธ์ที่ออกมากลับเป็นว่าเส้นเชือกนั้นกลับลู่ลงจนแทบติดกับแขนของนักว่ายน้ำ ซึ่งจุดนี้เกิดจากแรงดันที่ไหลจากต้นแขนลงมาสู่หลังมือในบริเวณฝั่ง Dorsal ของแขนแทน

เช่นเดียวกับการวิจัยที่วัดค่าความดันในส่วนต่าง ๆ ของฝ่ามือนักกีฬาในระหว่างทำสโตรก พบว่าการจะว่ายน้ำให้เร็วได้นั้นไม่ได้มาจากการออกแรงใส่เต็มที่ในด้านหน้า (Ventral) ของฝ่ามือ แต่คือการลดแรงที่เกิดขึ้นในด้านหลังของฝ่ามือลง
นั่นจึงทำให้การตีสโตรกแบบตัว I กลับมาได้รับความนิยมในหมู่นักว่ายน้ำอาชีพอีกครั้ง เพราะนอกจากท่ากบแล้ว แรงปฏิกิริยามีอิทธิพลในการทำแรงส่งให้ร่างกายนักกีฬามากกว่าแรงยกตัวเสียอีก
อย่างไรก็ตามเนื่องจากร่างกายของนักกีฬาเหล่านี้จะมีการหมุนตัวเล็กน้อยระหว่างตีสโตรก จึงทำให้ฝ่ามือของพวกเขาดูเหมือนกำลังทำแบบ "Sculling" เมื่อเทียบกับตำแหน่งของร่างกาย แต่หากเทียบกับทิศทางการไหลของน้ำในสระแล้ว เทคนิคที่ถูกนำมาใช้เป็นหลักในปัจจุบัน คือการตีสโตรกแบบตั้งฉากกับการเคลื่อนที่ หรือใช้แบบตัว I เป็นหลักแทน
แม้ข้อมูลที่มีการวิจัยในปัจจุบันจะระบุว่า การทำสโตรกแบบตัว I จะมีประสิทธิภาพน้อยกว่าการทำแบบตัว S หรือใช้หลักการแบร์นูลลีมาช่วย แต่เพราะนักกีฬาอาชีพทั้งหลายต่างเตรียมร่างกายมาเพื่อการนี้อยู่แล้ว ดังนั้นพละกำลังของพวกเขาจะช่วยชดเชยส่วนดังกล่าว และว่ายเข้าเส้นชัยได้ด้วยเวลาที่น่าประทับใจได้อยู่ดี

ท้ายที่สุดแล้วยังมีอีกหลายเรื่องในพลศาสตร์ของไหล ที่เรายังไม่เข้าใจมันได้อย่างถ่องแท้ รวมถึงกลไกต่าง ๆ ในร่างกายของมนุษย์ ที่อาจทำให้เราต้องกลับมาถกเรื่องหลักการแบร์นูลลีกันอีกครั้ง เพื่อพิจารณาว่าเราสามารถปลดล็อกความสามารถอะไรจากองค์ความรู้ใหม่ในอนาคตกันได้บ้าง
ดังนั้นมันคงเร็วเกินไปที่จะสรุปในบทความนี้ ว่าหลักการดังกล่าวช่วยหรือไม่ช่วยให้นักว่ายน้ำทำเวลาได้เร็วขึ้น แต่อย่างน้อยหลักการแบร์นูลลีและอีกหลากหลายทฤษฎีที่ถูกคิดค้นขึ้นมาก็ได้เป็นหนึ่งในส่วนผลักดันให้มนุษย์เราทลายขีดจำกัดในร่างกาย เพื่อทำลายสถิติเดิมที่เคยถูกสร้างมาในอดีตลงไปได้สำเร็จ
แหล่งอ้างอิง:
Blazevich, Anthony. Sports Biomechanics: The Basics: Optimising Human Performance. Bloomsbury Publishing, 2013.
TOUSSAINT, HUUB M.; VAN DEN BERG, COEN; BEEK, WIERO J. "Pumped-up propulsion" during front crawl swimming, Medicine and Science in Sports and Exercise: February 2002 - Volume 34 - Issue 2 - p 314-319
https://skybrary.aero/articles/bernoullis-principle
http://ffden-2.phys.uaf.edu/211_fall2002.web.dir/Craig_McMullen/PageFour.htm
https://www.youtube.com/watch?v=1FcNiirTV1Y
https://www.youtube.com/watch?v=DW4rItB20h4